Post Reply 
 
Thread Rating:
  • 0 Vote(s) - 0 Average
  • 1
  • 2
  • 3
  • 4
  • 5
How to Improve LXi Engine Cooling Performance
10-31-2013, 20:11 (This post was last modified: 11-01-2013 09:34 by davidbrady.)
Post: #1
How to Improve LXi Engine Cooling Performance
The other day I was checking tightness of various cooling system clamps and fittings. To do this I needed to remove the under-radiator shrouding. İmage

After tightening I pressurized the cold system to 16 psi for a few hours. Everything held leak free so I then went for a drive to thermal cycle the system and re-check for leaks. I left the shrouding off.

I took my usual 50 mile exercise route that I drive every 3 to 4 weeks. I know the route well and how the bus responds over the miles. I immediately noticed that the engine operating temperature was different. The bus normally quickly heats up to 190 deg F and over the course of the 50 miles the coolant routinely hits 200 deg F at which point the fan comes on. I can count on the fan cycling around a half dozen times.

This time was different. The coolant temps climbed more slowly. It seemed to take forever to hit 185 deg F. I managed to get it to the high 190's but the high speed fan never came on.

This led me to think that the radiator fan faces a high static pressure as it blows air into the engine compartment and with the shrouding removed the static pressure was greatly reduced. I need to do more testing to verify that the improved cooling performance is due to the under-radiator shroud removal and not to my tightening a few clamps, but my hunch is the former.

This led me to a trip to my local transit bus operator, Youngs, and the discovery of a piece of Blue Bird documentation that shows louvers in the under-radiator shrouding. İmage

My LXi doesn't have louvers in this piece of shrouding. I'm going to experiment with adding louvers to improve the fan air flow leaving the engine compartment and to reduce the static pressure seen by the radiator fan.

It's early to say, but I'm fairly confident that adding louvers to the under-radiator shrouding is a simple way to significantly increase the cooling system performance in our LXi's. (and probably our LX's).

david brady,
'02 Wanderlodge LXi 'Smokey' (Sold),
'04 Prevost H3 Vantare 'SpongeBob'

"I don't like being wrong, but I really hate being right"
Find all posts by this user
Like Post Quote this message in a reply
11-01-2013, 07:41
Post: #2
RE: How to improve LXi engine cooling performance
David
The shroud is to keep the hot air from re circulating back into the radiator at idle conditions. I agree when at road speed you will not have the issue with high temps.
If you want to find the effects of the shroud you have to test the system at idle condition, you may find that the high speed fan will cycle on and off as the temperature raise.
Hish

Hisham and Sue Amaral
2004 Prevost XL2 Marathon (sold)
2003 Liberty H3-45 2 slide
Titusville, Florida
248-935-5390
Find all posts by this user
Like Post Quote this message in a reply
11-01-2013, 08:32 (This post was last modified: 11-01-2013 08:46 by davidbrady.)
Post: #3
RE: How to improve LXi engine cooling performance
Thanks Hish,

Yes, that's my understanding too. I wouldn't recommend removing the shroud only the judicious addition of louvers. When Blue Bird added the louvers, as shown in the above pic, they faced them away from the radiator, presumably to blow the hot air away from the radiator. The mechanic at Youngs said that at one time Prevost hung a neoprene curtain down behind the radiator, the length of the radiator, and just off road level. This too was to prevent hot air recirculation, so there are other ways to solve the problem, if indeed it is a problem. When underway it shouldn't be, but in stop and go conditions with the air conditioning on it might be. In stop and go the engine should progressively cool down as diesels do eventually bumping into the thermostats. I wonder if the primary concern of hot air recirculation is AC. This is why I'd really like to know which Blue Bird used the louvered radiator shroud, if any. To me it looks like it was made for the LTC40 or the S60 equipped Wanderlodges.

david brady,
'02 Wanderlodge LXi 'Smokey' (Sold),
'04 Prevost H3 Vantare 'SpongeBob'

"I don't like being wrong, but I really hate being right"
Find all posts by this user
Like Post Quote this message in a reply
11-02-2013, 15:00 (This post was last modified: 11-02-2013 16:21 by travelite.)
Post: #4
RE: How to Improve LXi Engine Cooling Performance
Hish gave me an idea. Why not come up with an articulating cover mounted on the under-radiator shrouding that lets fan air exhaust thru the cover when the bus is underway and that seals closed when the bus is stationary. This way we get great breathing for better cooling when the bus is moving and we stop hot air re-circulation when the bus is stopped or in stop and go traffic. Hish did something similar in his early days at Chrysler and if I got his explanation correct I think his system opened using ram air; it was a passive system. I don't think I'm smart enough to do that but I can picture a powered louver that opens and closes under operator control, or a speed sensor to do the control automatically. Any ideas for parts or contraptions? Perhaps something like this: McMaster-Carr Louvers.

david brady,
'02 Wanderlodge LXi 'Smokey' (Sold),
'04 Prevost H3 Vantare 'SpongeBob'

"I don't like being wrong, but I really hate being right"
Find all posts by this user
Like Post Quote this message in a reply
11-02-2013, 16:27
Post: #5
RE: How to Improve LXi Engine Cooling Performance
since I have the series 60, wouldn't this thread be of value in my coach?

Ernie Ekberg
Prevost Liberty Classic XL
Weatherford, Tx
http://www.ernieekbergflooring.net
Find all posts by this user
Like Post Quote this message in a reply
11-02-2013, 16:55 (This post was last modified: 11-02-2013 17:56 by davidbrady.)
Post: #6
RE: How to Improve LXi Engine Cooling Performance
Yes, it should Ernie. Your bus has the lowered S60 just like the LXi's and limited louvers on the rear deck lid. Anyone who's driven Hwy 15 outside Las Vegas up Baker Hill in 115 deg F ambient heat knows that even with a fresh 7 row radiator core and hydraulic fan system one needs to power down to keep coolant temps stable. Under most conditions we're fine but there are grades and conditions where I'd like to have more cooling capacity. My recent experience running with the under-radiator shroud removed opened my eyes to the possibility that we may not be radiator core limited but more likely fan CFM limited. Opening the bottom up allowed the fan to move a lot more air. My coolant temps were dramatically lower.

david brady,
'02 Wanderlodge LXi 'Smokey' (Sold),
'04 Prevost H3 Vantare 'SpongeBob'

"I don't like being wrong, but I really hate being right"
Find all posts by this user
Like Post Quote this message in a reply
11-02-2013, 17:28
Post: #7
RE: How to Improve LXi Engine Cooling Performance
this is the first time in my Bluebird ownership that my coach has been away from me. I'm ready for it to come home.

Ernie Ekberg
Prevost Liberty Classic XL
Weatherford, Tx
http://www.ernieekbergflooring.net
Find all posts by this user
Like Post Quote this message in a reply
11-02-2013, 19:24
Post: #8
RE: How to Improve LXi Engine Cooling Performance
David,

There may be more of a hot air recirculation issue with the panel totally removed than with louvers added to the panel when in stop & go traffic.

I doubt that those louvers would have much negative effect on the coolant temps while sitting in stop and go traffic. There maybe a little recirculation of hot air but the minimal load on the S60 would more than compensate for the hot air regenerated back through the radiator.

I also suspect that adding the louvers will not fully duplicate the results you experienced in your test run with the panel completely off. So the question would be just how much cooler would the coolant temperature run with just the louvers as designed in the schematic.

Before spending time designing a panel with closable louvers, it would be prudent to try a panel with just the louvers as presently designed. Who knows, they may help. Obviously, BB didn’t install them on the Wanderlodge. It could be that they felt they didn’t need them. But those engineers probably never tried climbing Baker Hill in 115 degree heat. I have and I know how excruciatingly slow you must go to keep coolant below 205*F. It’s a long way to the top of that hill.

You mentioned that the louver panel was probably fitted to the LTC40. I would think most LTC40s would experience more day to day stop and go city traffic than a Wanderlodge.

If later, you find a need to close the louvers at idle or low speed, a simple solution would be to follow the technology developed to close the awnings at a certain wind speed. In this case, use wind speed to open the louvers with a simple air cylinder and a 2 way control valve.

Chuck

Chuck & Tela Millsap
2003 Prevost Marathon XLII
2000 LXi #2 S/S (Sold)
2004 M380 D/S (Sold)
2000 LXi #1 N/S (Sold
Find all posts by this user
Like Post Quote this message in a reply
11-02-2013, 20:06 (This post was last modified: 11-02-2013 20:33 by davidbrady.)
Post: #9
RE: How to Improve LXi Engine Cooling Performance
Hi Chuck,

Thanks for the voice of reason. Okay... baby steps first. Smile

What we know is that Blue Bird designed the coolant system to a maximum ambient temperature. Our Owners Manuals say that this temperature is 100 deg F. You and I both agree if this is correct it's a little low for the environments that we use our coaches. In retrospect going 10 or 15 deg higher would have better suited our needs.

The design parameters that limit the heat rejection by our cooling system include the static fan pressure, fan diameter, speed, and horsepower, and the Series-60 requirements for heat rejection to the radiator and charge air cooler. About the only parameter that we can easily change is the static pressure.

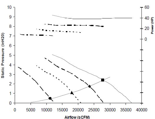
Here's an empirical graph showing how dramatically cooling system fan CFM falls off with static pressure: İmage This graph shows four fans - our LXi systems are most similar to the fan represented by the solid line. With zero static pressure the fan is capable of 37,000 CFM. As the static pressure increases to 5 inches of water, the fan CFM is down to 13,000 CFM. 5 inches of water is less than 0.2 psi.

The first thing I'd like to do is measure the static pressure in our engine compartments with the shrouding in place and then with the shrouding removed. I can do this by running the engine up to it's governor with the fan override on and with a water manometer. I really don't see a need to progress any further until we get some numbers. I have a hunch that we're seeing static pressures that significantly limit our fan's CFM.

It's interesting to note that the Filter Minder issue that was identified in a separate thread may also be related to high fan induced static pressures!

Thanks for the ideas on a awning style wind speed sensor and pneumatic cylinder control. I like it!

david brady,
'02 Wanderlodge LXi 'Smokey' (Sold),
'04 Prevost H3 Vantare 'SpongeBob'

"I don't like being wrong, but I really hate being right"
Find all posts by this user
Like Post Quote this message in a reply
11-02-2013, 21:47
Post: #10
RE: How to Improve LXi Engine Cooling Performance
Threads like this make me really glad my 60 sits up in the air where it's supposed to!! Wink Big Grin

John Mace
06 450LXi bigger bird
living in the wild hinterlands of the north
free to roam without the man getting me down
Find all posts by this user
Like Post Quote this message in a reply
Post Reply 




User(s) browsing this thread: 1 Guest(s)